CS663 | computer vision
  • outline
  • projects
  • syllabus
  • links

Motion- differential

(parts adapted from http://www.icaen.uiowa.edu)

 


 

 

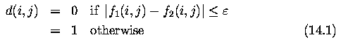
Trying to subtract against a background image

cs663:computer vision

  • home
  • outline
  • projects
  • syllabus
  • links